Skip to Content

Curriculum Resource

Curriculum banner

Stories that change livesBookmark

Learning area: English
Year level: Year 7, Year 8
Country: Australia, China, Indonesia, Japan, South Korea
General capability: Intercultural understanding

Folk tales, sijo, anime and cosplay

This module has been written to assist teachers of English at years 7 and 8 in Australian schools as they implement the cross-curriculum priority Asia and Australia's engagement with Asia in an English unit of work.

The activities aim to immerse students in storytelling, an ancient art in which people share stories across cultures and throughout time. Students focus on stories from China, Japan, South Korea and Indonesia.

Utamaro Yama-uba and Kintaro illustrationYama-uba and Kintaro

Acknowledgements

Image: Yama-uba and Kintaro - public domain

Related resources

Activity 1: Visual texts – how can we read photographs?

Support students as they develop visual literacy skills and use photographs to infer stories of everyday life and culture in other countries. Introduce students to the grammar of visual texts and encourage the use of higher order thinking skills and visual ways to display their understandings.

Task 1: Activating prior knowledge

Use a KWL chart to ascertain what knowledge of the Republic of Korea (South Korea) the students already possess, what new information they seek and what questions they have. The chart can be used again at the end of the unit of work to assess what the students have learned when they complete the 'What I have learnt' column.

Ask students to find a partner and share their understandings about South Korea from the KWL charts. The students are to then form groups of four, share their KWL charts and identify five keys words or phrases about South Korea to record on a class graffiti wall. The teacher can then orally review the words to clarify ideas and understandings.

Ask students to use key words from the graffiti wall to make a word cloud. The software Wordle can be used to make word cloud posters to display around the room to provide a reference point as the unit of work progresses.

Task 2: Read the photo

If viewed critically, visual texts such as photographs can provide a wealth of information about other cultures.

Use the photograph of a bus in Seoul, South Korea. Ask the students to study the photograph closely then, working with a partner, conduct a think pair share to discuss what they see in the photograph.

Read the photo card game

Use the same photograph to model playing the read the photo card game. Print sets of 24 photo cards (DOC 133 KB) and put them in envelopes for each small group of students.

Give the students the instructions for playing the game.

How to play:

  • Select a photo for the group to use.
  • Place the photo in the centre of the table.
  • Each participant should then select a card from the envelope.
  • Read the card and work out your answer.
  • Take turns to read out your question and to share your answer.

Conduct a class discussion to share the stories that the photograph might tell. It is not difficult to find other photographs to use for this strategy, such as from the Korea.net website.

Task 3: Reading photographs and making inferences

Photographs from any Asian country may be used to help students make inferences about that country. For example, ask students to look carefully at the photographs to the right, taken in Japan, noting in detail what they see.

Then ask students to think about similarities to and differences from their own culture and note what they can infer about life in Japan.

For each photograph, answer the following questions (this can be set up as a table):

  • What do you see? (What do you observe?)
  • What does it mean? (What do you infer?)

Task 4: Visual grammar

Students should now analyse the photographs again using the visual grammar framework below. This can be downloaded as a worksheet (DOC 136 KB).

Visual grammar Photograph 1 Photograph 2
Subject or object – person, place or thing in the image
Setting– the details of the location
Mood– whether the gaze is an offer or a demand
Colour– to represent a particular mood or feeling
Perspective – whether the viewer adopts a subjective or objective view
Framing or social distance
Lighting – natural or conveying a particular meaning

Task 5: Images of South Korea

Students will work in pairs to 'read' or deconstruct the following photos of scenes in South Korea. Students are to use the visual grammar framework to guide their thinking:

  • subject or object
  • setting
  • mood
  • colour
  • perspective
  • framing
  • lighting.

For each photograph, students answer the following questions (this can be set up as a table):

  • What do you see?
  • What does it mean or what can you infer?

Task 6: Life in Seoul from photographs

Show the students how to annotate a photograph to demonstrate their understanding, either by modelling or by jointly constructing a sample photograph.

Using Photograph 5, ask the students to work with a partner to add their annotations as shown in the diagram below. The photograph shows a cluster of high-rise apartment buildings in Seoul, the capital of South Korea. Seoul has a population of over 10 million people.

Topic_1_Place_mat_strategy

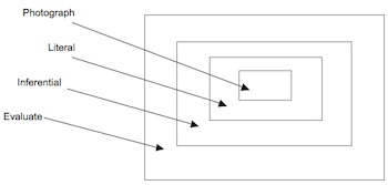
This deconstruction process is an adaptation for visual texts of the written levels of comprehension called reading on the lines, reading between the lines and reading beyond the lines.

Working in groups of four, students use a place mat strategy to record individual responses and develop consensus answers to the statement:

  • Living in Seoul would be similar to living in an Australian city.

Ask students to justify their consensus statements.

Task 7: Photo collage and gallery walk

In this activity students will prepare a photo collage of South Korea representing either traditional or contemporary life. Work with a partner to show both perspectives of South Korea.

Post the collages around the classroom and conduct a gallery walk for students to view each other's different interpretations of South Korea.

Task 8: Seeing with new eyes

Through adopting a critical approach to viewing and reading images, students take on different perspectives and extend their world views.

Novelist Marcel Proust, when speaking of supporting students' understanding of other cultures, said, 'The real voyage of discovery consists not of seeing new lands but seeing with new eyes'.

Have students complete the following. This could form the basis of an assessment task.

  • Write a short explanation of how reading the photographs has helped you to think about life in South Korea.

Activity 2: Folktales and fairy tales – insights into families, societies and cultures

Introduce folktales and fairy tales from other countries, focusing on the skills of a competent reader. Show your students how these comprehension skills can be applied to identify the characteristics of folktales and how they compare to folktales they already know. Assist students to work collaboratively to make a simple animated adaptation of a folk tale.

The folk tale is a story, passed down orally from generation to generation. At each telling the story has been told a little differently, thus making it more interesting and more dramatic over time.

Folk tales therefore take on the characteristics of the culture and customs of the people of their country of origin. The stories are filled with magic and adventure; stories where the brave and true triumph and evil is punished.

It is interesting to note the many similarities in folk tales from different cultures. Folk tales allow insight into cultures; especially into their values and beliefs.

Task 1: Reading and understanding folk tales

Students work in groups of four and use a place mat strategy to ascertain what already they know about folk tales.

Key inquiry question: What are the features of folk tales?

Share the group findings with the class and record the names of any folk tales that the students know.

Two folk tales form the basis of this activity:

Before reading the folk tales, familiarise the class with vocabulary from The adventures of Kintaro which might be unfamiliar: malicenimblypreyeddaislairsdesistedvassalprodigydauntlessabode and stricken.

Conduct a think aloud protocol while reading The adventures of Kintaro.

Model the questions that effective readers ask of texts using a framework such as the Four roles/resources

Code breaker
  • How are words like malice, dais, desisted, daunted and vassal used in context to show their meanings?
  • Does this confirm the meanings discussed earlier in the lesson?
  • What words would have a similar meaning? (Synonyms)
Text user
  • What is the purpose of this story?
  • What does the opening 'Long, long ago' suggest about the story?
  • What role will the woodcutter play?
  • Will the story have a happy ending?
Text participant
  • What does the title suggest about the story?
  • What does each of the talking animals represent?
  • What might the woodcutter be thinking when he sees Kintaro pull a tree from the ground to make a bridge?
  • What is his purpose in following Kintaro?
  • I have heard of a samurai but need to find out more, especially about vassals.
  • What is the moral of this folktale?
Text analyst
  • Most of the characters are stereotypical; think about what we know about the mother, Yama-uba.
  • What references are made to Japanese culture?
  • How might the story change if it was set in modern Japan?
  • How might the story change if it was set in contemporary Australia?

Ask students to read The lake of colors with a partner, using a similar strategy.

Discuss students' understanding of the folk tale, especially noting the effects of this being a translation.

Students can then discuss the two folk tales as a class and identify any similarities or differences to folk tales with which they are familiar.

Task 2: Characteristics of folk tales

Students complete the following table to highlight common characteristics of the folk tales. This can be downloaded as a worksheet (DOC 137 KB). Some teacher scaffolding might be needed.

Characteristics of folk tales What you found Similarities to other folk tales you know
Setting
  • Folk tales are usually set in a magical world where animals speak and witches abound.
  • The setting is usually unimportant and references are vague, for example 'Once upon a time in a faraway kingdom …'
  • Some settings reflect the culture of the country, for example beautiful palaces or castles.


Characters
  • The characters are flat and simple so that young children can easily identify them.
  • They represent either good or evil.
  • Their motives are always obvious.
  • They are stereotypical, such as the evil stepmother.
  • Good always wins but the hero often has to use supernatural forces.


Plot
  • Plots are simple and usually short.
  • They are based on a formula such as the journey.
  • The action is rapid and the endings happy.


Theme and conflict
  • The themes are simple but important as they teach young children virtues such as truthfulness and generosity.
  • Children learn that there is always a condition for every advantage.


Style
  • The language is simple, description is limited and repetition is used.
  • Dialogue is often used, especially in characterisation.
  • Motifs such as helpful animals or spells help storytellers remember the tale.
  • Most of the motifs are based around magic.
  • Most of the heroes or heroines remain noble or beautiful throughout.


Task 3: Red Riding Hood across different cultures

Lon Po Po: a Red-Riding Hood story from China by Ed Young is a translation of the Chinese tale which is thought to be over a thousand years old. The story was originally presented in the old oral tradition and Ed Young has used illustrations to help tell the story; illustrations that are based on ancient Chinese panel art. Consider how the visual and print texts combine to tell the story.

Red Riding Hood is a European fairy story believed to have been written in the 17th century. Read one version of the Little Red Riding Hood story to the class.

Students should think about the similarities and differences between Lon Po Po and the Red Riding Hood stories. They can use a Venn diagram to illustrate both common and individual features.

Venn diagram

yrs78venndiagram

Ask students to write a short comparison of the two fairy tales, focusing on the characters, plot and setting of each story.

The familiar Cinderella story is also a good one for exploring cultural comparisons. The Korean Cinderella and Yeh-Shen: a Cinderella story from China provide both excellent text and images for such an activity.

The legend of Mulan, told as an epic poem, picture book, graphic novel and animated movie provides the same story in different genres.

Acknowledgements

Image: Yama-uba and Kintaro, by Kitagawa Utamaro, (1753–1806), public domain.

Activity 3: Historical and cultural representations through literature

Task 1: Chinese Cinderella

Chinese Cinderella: the true story of an unwanted daughter by Adeline Yen Mah explores Adeline's young life as she grows up in a wealthy Chinese family during World War II. Her family considers her to be bad luck, as Adeline's mother died two weeks after she was born.

When Adeline's father remarries, his new wife despises her husband’s five children, in particular Adeline. The story is Adeline's autobiography, recounting how she tries to win the acceptance and the love of her family.

Students will need to be given a synopsis of the first four chapters of the novel and the names of the following characters explained: Nai Nai, Ye Ye and Niang.

Ask students to read the two chapters titled Arrivals in Shanghai and First day at school, using the reciprocal teaching for reading approach with these modified roles:
  • Predictor Han
  • Clarifier Chen
  • Questioner Qing
  • Summariser Sheng Xin
  • Culture Collector Chiang (who has the additional role of collecting cultural information)

The reciprocal teaching groups should record their findings from Culture Collector Chiang by posting on the class blog, if you have one.

Niang, the evil stepmother features as a central character through her actions and their consequences. Students should record the words or a passage indicating her actions and record what the consequences of these actions mean for Adeline and her siblings, in a table like the one below:

Niang's actions The consequences for Adeline and her siblings
   
   

Task 2: 'Aftershocks'

Tomo (meaning friend in Japanese) is an anthology of short stories for young teens edited by Holly Thompson. It aims to bring stories of and about Japan to a wide audience and, in doing so, use the proceeds to help teens affected by the 2011 earthquake and tsunami.

The short story Aftershocks by Ann Tashi Slater examines the life of a family living in Tokyo in the aftermath of the 2011 calamities; a period in which Tokyo was subjected to many aftershocks. The family grows apart, the once close parents seem distant and on the brink of separation, and their daughter Katie requires the help of a psychiatrist.

The words, earthquaketsunami and marriage are key words in the short story. Ask students in pairs to select one word and brainstorm words that relate to the focus word.

Introduce the first page of 'Aftershocks' to the students. Discuss with them the double entry journal strategy, modelling the technique.

Have students read the text in small groups with individuals making journal entries whenever a natural pause in the reading occurs.

DOUBLE ENTRY JOURNAL
From the text My thoughts about it
   
   
Assessment task: Book trailer of Chinese Cinderella or 'Aftershocks' 

In this assessment, students create a book trailer for either the novel or short story. The audience for the book trailer will be young teenagers. A class screening of the book trailers will be held at the completion of the assessment task.

Students brainstorm or mind map the best features of the novel or short story to incorporate in the book trailer.

Students work with a partner to create a storyboard of the plot and to plan the transitions and effects.

As a pair, students create the book trailer using easily accessible software such as Movie Maker or Photo Story.

Task  3: Researching cultural practices

Building on the knowledge gathered by Cultural Collector Chiang, students conduct an investigation into the following aspects of Chinese culture:

  • calligraphy
  • filial piety
  • fireworks
  • Chinese New Year
  • the Great Wall of China
  • the panda.

A Google search can be used to provide a few selected short texts for each group or individual's topic. The investigation can be done through a directed reading thinking activity (DRTA). Use the information in the DRTA to complete an illustrated research poster.

Students will then give a short oral presentation to the class.

Task 4: Investigating cultural practices through an academic controversy

In Chinese Cinderella, Adeline's Nai Nai has bound feet. A greater understanding of the Chinese cultural practice of foot binding can be gained through a comparison with current customs such as body tattooing.

The practice of foot binding in China is thought to have begun in the Song Dynasty (960–1279) and was extended to most classes of women; except the peasants, as they were expected to work hard on the farms and foot binding would have crippled them, thus preventing them from working effectively.

The academic controversy is a collaborative strategy for students to consider different perspectives of a controversial issue, before reaching a consensus. Conduct an academic controversy around the statement:

  • Foot binding and tattooing are positive symbols of individuality.

The statement posed is designed to link the current popular practice of body tattooing with the past Chinese practice of foot binding to foster a critical awareness of such practices.

Students should research each topic before beginning the academic controversy to provide the necessary background knowledge. At the end of the activity, students will conduct a self-assessment of the task using the group assessment sheet from the website.

Acknowledgements

Images: Shanghai's Nanking Road in the 1930s, public domain; Shoes for bound feet, Queensland Museum, CC BY-SA 3.0

Activity 4: Haiku and sijo – Stories to contemplate meaning

Students explore two traditional forms of poetry from Asia and investigate how poets create shades of meaning through the use of poetic devices. Support students to write critical analyses and compose their own poetry.

Conduct collaborative assessment around the creation of a digital story of student poetry anthologies.

Poetry is usually an emotional response to an event, thought or occasion. Traditional poets in both Japan and Korea have created simple but deeply layered poems in the form of haiku and sijo. The haiku is a three-line poem which has a total of 17 syllables, the sijo also has three lines but a total of between 44 and 46 syllables. Both poetic forms are based on nature with the poet taking a particular point of view or mood. The sijo is often a narrative which introduces the situation or problem in line one, this is developed in line two and line three includes a twist.

Task 1: Discovering haiku

Totto-chan: the little girl at the window is a translated autobiographical novel by Japanese television personality Tetsuko Kuroyanagi. It includes a chapter about the famous haiku poet, Issa Koboyashi (1763–1828). The story tells of Tetsuko's childhood memories, especially those of her days at her unconventional school, Tomoe.

Working with a partner, students read the chapter called The poet Issa, taking particular note of the haiku poems. Students will identify the features of a haiku as expressed in the chapter, recording them in the table below. Students should identify quotes from the text to support the features of haiku that they name.

Quotes from Totto-chan Features of a haiku poem
'They were true and dealt with ordinary things in life Haiku are written about ordinary things.
   
   

Task 2: The painted pictures of haiku

Students should work with a partner, reading the following haikus written by the four poets who are acclaimed as the four great masters of the art of haiku.

Encourage students to discuss the meaning and check for the 5–7–5 form. What picture is painted by each haiku?

Once snows have melted,
The village soon overflows
With friendly children.

Kobayashi Issa (1763–1828)

The passing of spring—
The birds weep and in the eyes
Of fish there are tears.

Matsuo Basho (1644–1694)
Courtesy Wikiquote, translated by Donald Keene

The summer river:
although there is a bridge, my horse
goes through the water.

Masaoka Shiki (1867–1902)
Courtesy Haiku for People

A whale!
Down it goes, and more and more
up goes its tail!

Yosa Buson (1716–1783)

Explain to the class that poets, and especially those who write haiku, use words in several ways to develop shades or layers of meaning for the reader. Poets arrange words in different ways; they focus on the meaning of words and also on the sounds of words. Words can have several meanings at the same time and so poets must find the exact combination of words to convey their meaning. Poetic devices such as similes, alliteration, onomatopoeia and personification often help poets to create layers of meaning. This makes haiku notoriously difficult to translate.

Students should now complete the following table:

Subject Season Adjectives used Mood
       
       

For further examples of haiku for students to read and analyse, there are many excellent sites. It is worth having students read contemporary haiku and haiku written in English, comparing the flow of language with translated poems. 

Extension activity

Students will write a critical analysis of one of the poems. The analysis should be written in the present tense using the third person and students should use quotations from the poem to substantiate their ideas.

Task 3: Sijo

Students are to read the sijo below, thinking about the form and meaning of the poems. What is the picture painted by each poem? Consider the mood created by the poems.

The spring breeze melted snow on the hills then quickly disappeared.
I wish I could borrow it briefly to blow over my hair
And melt away the aging frost forming now about my ears.

U Tak (1262–1342)

You ask how many friends I have? Water and stone, bamboo and pine.
The moon rising over the eastern hill is a joyful comrade.
Besides these five companions, what other pleasure should I ask?

Yun Seondo (1587–1671)

Sun lights up the hill behind, mist rises on the channel ahead.
Push the boat, push the boat!
The night tide has gone out; the morning tide is coming in

Yun Seondo (1587–1671)

The people of South Korea place great significance on nature, a result of the early religion, shamanism. Gardens such as the famous Poseokjeong Gardens at Gyeongju in South Korea use water extensively so that visitors can watch and reflect on the beauty of water. The moon is also a symbol of prosperity and is of great significance.

Discuss with the class how the poems reflect this aspect of the South Korean culture.

Working with a partner, students record the words which refer to the seasons. Students should identify where personification has been used in reference to aspects of nature. Ask them to give two examples and support these with quotations from the text.

Students write three or four sijo, using the photographs below as inspiration. Remind students of the form of the poems: three lines with a total of between 44 and 46 syllables. The poems are often about nature and have a particular mood or point of view. They tell a story in three lines and include a twist or surprise at the end. Sijo were originally sung and so will have musical qualities.

Students should decide on the topic for their sijo, for instance a particular location described in different seasons, each with a different mood. Brainstorm a list of words to use before deciding how to organise the words into lines, not forgetting the twist at the end.

Use Google image search with terms like 'South Korea nature', 'South Korea seasons' and 'South Korea temples' to quickly create a screen full of inspirational images like those to the right.

Acknowledgements

Images: Plum Blossoms, by Ogata Kōrin, Japanese fan, 1702, public domain; Damyang-Juknogwon-Bamboo Garden, by Byungjoon Kim, CC BY-2.0; Garden of residence of Korean hero, Admiral Yi Sun-shin, by Jo, CC BY-SA 2.0; The Korean Temple Burying-sa,
by Richardfabi, public domain

Activity 5: Stories told by manga, cosplay and anime – what of pop culture?

Examine the structures and features of manga with your students, as they learn to annotate their ideas and impressions of this text. Support students' exploration of the world of cosplay through interviews with champion cosplayers. Use storyboarding to show how anime can be based on manga stories. Assess student learning through their zine about storytelling and culture.

Globalisation, the internet and digital technologies have contracted our world, making communication and the sharing of ideas more accessible. Popular culture or pop culture is now warping into a global culture as young people across the world share similar fashions, comics, films and music. What stories are told by popular culture?

Multimodal texts like manga tell a story visually and so are popular internationally as they don't rely solely on written text. Cosplayers in turn replicate the costumes of characters from the stories in manga and anime, the Japanese animations based on films and television series.

Manga, the name for comics and cartoons created in Japan, became particularly popular with the work of Osamu Tezuka. Tezuka, who is thought of as the Japanese version of Walt Disney, created both Astro Boy and Kimba the White Lion.

So how are stories told in manga?

Task 1: Introduction to manga

Manga_2

Introduce students to the structures and features of manga. It can be hard to find Japanese manga translated into English (as opposed to manga-style comics written in English) which is free, classroom friendly and suitable for secondary students. Always review content before its use in the classroom.

The humorous series Ubunchu! was written to promote the Linux computer system and is about a group of high school students in a computer club. It contains all the features of manga. Project pages from the Ubunchu! manga on an interactive whiteboard and identify these features as a class:

  • Stories are told in panel layouts and are read from right-to-left (English translations are sometimes adapted to left-to-right).
  • Speech is recorded in speech bubbles.
  • Movement is shown as background speed lines.
  • Thoughts are expressed in thought bubbles.
  • Characters usually have large eyes, small mouths, pointy chins and large hair.
  • A close-up can express emotion; as can the shading in the background.
  • Noses are usually small but at times can appear as just two dots.
  • Sounds can also be expressed through onomatopoeia which can appear as exaggerated text.

What other features can students contribute to this list?

Students can now work in pairs to identify features from another page on their own.

Extension activity

A popular manga is the story of Naruto, a young boy who strives to become the greatest leader in his ninja village. Research the manga, Naruto and how it evolved into a long-running series and anime.

If you can find copies of the Naruto manga and anime, students could use sections to create storyboards and compare the results with the anime.

Task 2: The world of cosplay

What is cosplay? 

In 2011, two young Tasmanian women, Jessica Allie and Tess Beattie, won the award for Best Costume at the World Cosplay Summit in Japan.

Together with the students, watch the following video clips of Jessica and Tessa being interviewed before and after receiving the award.

Students can watch their performance on the right.

While watching, students should use the Five Ws to prepare a list of dot points of what they know about the two girls, their association with cosplay and the World Cosplay Summit. Lists can be shared with other class members before discussing and recording what other facts students would still like to know.

Have students watch the YouTube clips again, this time noting the types of questions asked by the interviewers. Ask students to look for open and closed questions and questions which tend to probe for more information. Now form the class into groups of three to share their separate lists of facts that they would like to know, before forming these into questions for their own interviews. Students take on the roles of Jessica, Tessa and the interviewer and conduct the interview. Students should volunteer to present these to the class.

Task 3: Culminating activity – making a zine

This activity can only be undertaken if the class has completed the other topics in this module. Lead students in the production of a group zine based on what they have learned about Japan, China and South Korea. More enterprising students could look at Indonesia, however extra time may be required for their research.

Students should individually complete the last column of the KWL chart from the first topic before forming groups of four to write their zines. The zines should be largely comprised of work from the topics completed, but an advanced group could also include more original work or sections based on their further reading.

Students should read the wiki on how to make a zine and undertake further research on zines if required. Reassure students that zines are highly individual, so even if they have not seen an example, they will still be able to make one of their own.

Assist students to form groups and allocate responsibility for the following pages to the group members:

  • Front and back cover
  • Page 1: Photo collage of one of the focus countries
  • Page 2: Illustrated poetry anthology of haiku or sijo
  • Page 3: Illustrated research topic looking at an area of interest from one focus country
  • Page 4: A page of original manga
  • Page 5: An interview with a cosplay champion
  • Page 6: A book review of a story about Asia
  • Page 7: A summary of a folk tale from one focus country
  • Page 8: A summary of what your group has learned about storytelling and cultures of Asia

About the module

The aim of this module is for teachers to learn about teaching the Asia cross-curriculum priority through exploring and implementing a unit of work in English for years 7–8: Stories that change lives – folk tales, sijo, anime and cosplay. While the module may be completed by teachers working individually, the preferred model is for teachers to work with one or more colleagues either personally or online to provide opportunities for discussion.

  1. Work through the topics on screen. You will need to complete the activities and read the resources. Keep notes using a paper or digital double entry journal.
    Double entry journal
    Topic My response/What I need to learn How confident do I feel about teaching this topic? (1 to 5 = least to most confident)
    Discuss and compare your notes with a colleague.
  2. Identify the areas where your colleague is least confident and discuss strategies for increasing confidence in this area. Your colleague should do the same for you. Implement your chosen strategies until you are ready to teach the module.
  3. Plan to teach at least one topic from the module. What modifications will you need to make? Consider the time available and resources required, as well as the needs of your students.
  4. Teach the module in your classroom, according to your modifications. Keep records on what worked and what didn't, sharing your progress with a colleague when possible.
  5. After the teaching is complete, compare notes again with your colleague.
  6. Share your learning with your school and wider networks. What can you do to help others complete this professional learning module?

A thorough list of resources is available in the References section of this module.

Module outline

Stories throughout time have captured tales about people, places and events. They are a powerful way to give meaning and context, to catch and transform thoughts and to describe the way that we see the world. Our world is a storied world and the stories are recorded in many different forms. This module is designed to enable students to interpret, analyse and create stories from and about Asia.

Students will engage with a broad range of visual, print and multimodal texts through an inquiry based pedagogy. All learning opportunities will be scaffolded across the range of abilities, addressing the standards in language, literature and literacy for years 7 and 8. The teaching and learning topics are differentiated, either through process or product, and incorporate digital and interactive teaching resources. Teacher notes, including suggested links to related texts, useful websites and academic readings are included.

The module particularly highlights opportunities to embed the cross-curriculum priority of Asia and Australia's engagement with Asia, however, all cross-curriculum priorities are present. While the general capabilities are addressed explicitly in the content, there is a focus on Intercultural understanding to develop an awareness and appreciation of, and respect for, the lives and cultures of other countries. Students can challenge ideas, hold different viewpoints and take into account other perspectives in order to broaden their own viewpoints. Students will explore cultures to find lives reflected in literature so that they can appreciate and develop their world views.

Using this module

The module is presented through five topics to allow teachers the opportunity to either teach the whole module as it is or select elements to suit their purpose and teaching style. Each topic has been written so that it can stand alone or be combined with others.

Achievement standards

Year 7 Year 8
English English

Texts required

  • Kuroyanagi, T., 1982, Totto-chan: the little girl at the window, Kodansha International, Tokyo – a small class set
  • Thompson, H. (ed), 2012, Tomo: friendship through fiction – an anthology of Japan teen stories, Stone Bridge Press, California – a small class set
  • Yen Mah, A., 1999, Chinese Cinderella: the true story of an unwanted daughter, Puffin Books, Australia – a class set
  • Young, E., 1989, Lon Po Po: a Red-Riding Hood story, A PaperStar Book, Penguin Putnam Books for Young Readers, New York – one teacher copy

It is recommended that teachers preview websites to ensure they are suitable for their students prior to use in class. Content accessed via these links is not owned or controlled by Asia Education Foundation and is subject to the terms of use of the associated website.

It is recommended that teachers preview websites to ensure they are suitable for their students prior to use in class. Content accessed via these links is not owned or controlled by Asia Education Foundation and is subject to the terms of use of the associated website.

Topic 1: Visual texts – how can we read photographs?

Topic 2: Folktales and fairy tales – insights into families, societies and cultures

Topic 3: Historical and cultural representations through literature

Topic 4: Haiku and sijo – stories to contemplate meaning

Topic 5: What of pop culture? Stories told by manga, cosplay and anime

The full resource can not be displayed on a mobile device.

back to top